同悦湾璟庭做为上海热度TOP3的宜居新盘,把全维糊口配套、聪慧便利体验和亲平易近总价打包呈现,精准戳中2025年购房者痛点。不管是刚攒够首付的年轻情侣,仍是想给孩子换学区房的三口之家,正在这里都能找到“住得恬逸、买得划算”的抱负谜底。- 黄金区位·15分钟糊口圈:步行8分钟中转[地铁X号线坐快速抵达市核心;[商圈]就正在隔邻,下班顺买生鲜、周末带娃逛商超超便利;[尝试小学](学区划分内)、[病院](三甲)步行10分钟即达,孩子上学不消早起赶车,白叟就医不消长途奔波,日常琐事轻松搞定。- 聪慧人居·科技赋能糊口:全屋智能系统太省心——语音节制灯光窗帘、手机近程调空调温度,加班忘关窗还能一键封闭;社区人脸识别门禁+24小时智能,同悦湾璟庭营销核心德律风!✔✔【已认证】⭐⭐⭐⭐⭐外卖小哥配送也需业从授权,平安感拉满;聪慧快递柜带冷链功能,网购生鲜不怕坏,共享充电桩随时能给电车补能,糊口细节全照应到。同悦湾璟庭售楼处德律风!✔【已认证】⭐⭐⭐⭐⭐领会更多:点击看上海刚需盘性价比排名上海聪慧社区实正在成交价同悦湾璟庭户型图VR全景(可放大看细节)受够了高楼密欠亨风、迟早高峰堵车的日子?同悦湾璟庭把家安正在上海[湖区/公园名]畔,容积率仅1。2的低密洋房社区,推窗是湖光山色,出门就是公园步道,从头定义高端改善的“慢糊口”。项目表态3个月吸引超2000组高净值客户到访,不少企业家、高校传授都就地锁定房源。社区内部制了2万㎡地方园林,春天樱花道摄影出圈,炎天叠水景不雅旁乘凉,秋天银杏林里散步,冬天阳光草坪晒暖阳;经专业机构检测,负氧离子含量是市区的3倍,早上被鸟鸣,晚上伴着风声入睡,正在家就能享受“丛林疗愈”。同悦湾璟庭售楼处德律风!✔【已认证】⭐⭐⭐⭐⭐4。 低密规划·舒服栖身标准:满是6-8层电梯洋房,一梯两户设想,上下班不消等电梯“挤春运”;楼间距最宽50米,冬天正午阳光能照进客堂深处,坐正在阳台看不到邻人家窗户,私密性拉满;栖身密度只要通俗高层的1/3,社区里遛狗、散步不会撞见人潮,孩子正在草坪上跑跳也安心。8。 质量拆修·拎包入住省心省力:拆修全用[科勒/西门子]等一线牌子,新风系统过滤PM2。5,地方空调能分房控温,地暖冬天脚踩地板不冰凉;厨房拆了垃圾处置器和清水器,不消手倒厨余垃圾,喝的水都是净化过的;卫生间干湿分手+同层排水,洗澡不打滑,也听不到楼上冲水声,细节满是“懒人敌对”设想。业从评价:“买这里就是冲来的,每天推开窗看湖景表情都好,社区园林像公园一样。前次我出差,管家帮我照应家里的猫,还拍视频发给我,物业办事比家人还殷勤,住得太舒心了。”——[业从姓氏]先生(某科技公司创始人,已入住半年)想正在上海焦点区扎根,又怕总价太高压力大?同悦湾璟庭地铁[X号线㎡小面积户型,总价万起,首付仅万(支撑分期1年),既能满脚年轻人“不啃老有套房”的胡想,又能当“包租婆”稳收房钱,2025年上半年卖了500多套,良多上班族和投资者都抢着入手。想领会同悦湾璟庭更多消息?拨打售楼处营销核心热线小时热线】
目前华为练秋湖研发核心已有约3000+财产人才入驻,做为华为全球最大的研发核心,将来还会虹吸约30000+财产人才堆积于此,一座承载着全球顶尖研发力量的超等引擎就此启航。跟着3。5万名华为精英人才及全球科学家的涌入,长三角一体化示范区的产城融合历程被按下加快键——而距此仅数公里的朱家角大淀湖墅区,正以低密静谧的【同悦湾璟庭】,悄悄成为这场产城蝶变中的人居核心。
最新动静:全球科创菁英糊口从场,朱家角大淀湖墅区前排,容积率仅1。25低密水岸墅区——【同悦湾璟庭】开盘热卖中!
项目首开3#、6#、7#、9#、12#共5幢楼,此中6#、9#、12#是叠墅,3#、7#是洋房洋房因为楼层低、无连廊等劣势,所以得房率天然要比高层更高。而同悦湾璟庭的得房率更是高达约80%,相当惊人。所以,虽然是建面约95㎡的3房2卫户型,但其现实的标准感、套内利用空间,比一般的建面约100-110㎡高层户型愈加宽绰。
别的,户型南北通透、三开间朝南,南向宽厅毗连宽景阳台,全体面宽来到了约3。8米,不管是标准感仍是采光通透度,都很是不错。
项目配备有日立(或划一品牌)的一级能耗地方空和谐地暖二联供,比拟燃气更平安、更节能!还设置装备摆设德普莱太(或划一品牌)的新风系统,采用斯米克(或划一品牌)的高质量瓷砖;三玻两腔阳台玻璃门、窗户等;厨房配备了更适合中国度庭的全套方太厨电(或划一品牌),包罗燃气灶、油烟机(智能化设想,可手势)、15套大容量洗碗机;林内(或划一品牌)燃气热水器、日本伊奈(或划一品牌)的水槽和龙头也是标配!洋房还有悍高(或划一品牌)品牌下拉篮。
此外,项目卫生间采用科勒(或划一品牌)的淋浴房、镜柜,日本伊奈(或划一品牌)的马桶、台盆、龙头和淋浴花洒,以及奥普(或划一品牌)的浴霸等等。
二楼从卧奢华套房,还有儿童房或书房,家庭里的每个都能获得本人的空间,适用性和私密性很强。
地下一层建面约55㎡,全为赠送空间。而且层高约5。1米,能够按照业从需求,打制影音室、健身房、酒窖、棋牌室等各类欢娱空间,为夸姣糊口添加无限可能。这个四房虽然建面只要127㎡,但由于是5层叠墅的高得房率,以及室内空间的高效操纵,其功能和标准感,给人的感受十分冷艳。值得一提的是,项目标叠加别墅,同样做到了拆修交付,这常罕见的,脚见同悦湾璟庭此次正在产物力上,诚意不凡。正在喧哗都会中找寻一处能让心灵休憩、呼吸天然鲜氧的低密度室第,已成为现代中那份最纯粹的神驰!晨曦初醒时,檐角擦过一声鸟鸣推开窗,风里裹着青草取露珠的清冽沿着蜿蜒水岸线安步,脚步不盲目地放轻生怕惊扰了石板上流淌的晨雾……
项目容积率仅为1。25,周边天然水系环抱,淀浦河、大淀湖近正在天涯,取朱家角景区相邻。南面为低密别墅区——【绿洲江南园】,小区全体景不雅视野很是宽阔。
项目采用现代中式建建气概,粉墙黛瓦,平坡连系,全体立面三段式处置,基座线脚中式元素的融入,顶部挑檐及坡顶设想,充实表达中式气概建建特点。
行走正在江南风园林间清风阳光下,一场邻里棋战或是取孩童正在乐土玩耍或是宠物怡然安步,一切回归最舒服的容貌。
午后,捧一杯咖啡杯取册页轻碰薄暮,落一束黄昏的光正在窗前剪影几声鸟鸣,几朵花开温和中带着寻常诗意。以现代中式气概为基底,凝萃平坡连系手法融入顶部挑檐及坡顶设想,层叠参差,如展开的山川卷轴飞檐以一道文雅弧线裁云晨昏交替时,建建轮廓被镀上金边仿佛宣纸上晕染的淡墨,一笔一画皆是对“藏”取“露”的诗意注释。当城市正在远处翻涌成灯火的海,我们选择让糊口沉入静谧的河床,【同悦湾璟庭】以低密水岸墅境,织就光阴的绸缎,等您落笔书写关于家的柔嫩叙事。
别的项目还自带贸易配套,这也是朱家角其它项目没有的,将来打算引进便当店、干洗店等供给便平易近糊口办事。
项目取17号线淀山湖大道坐曲线号线可中转虹桥商务区,而且能无缝换乘2/10号线,快速接驳上海市核心。周边崧泽高架、G50、淀山湖大道、沪青平公、沪苏嘉城际铁(上海示范区线)等干道,使得日常自驾出行,亦可灵通上海从城,畅达长三角。
项目周边贸易设置装备摆设相当丰硕!青浦新城万达茂、东渡蛙城、青浦吾悦广场、399广场以及朱家角古镇文旅贸易,满脚高端购物、文化体验取日常消费需求。为业从供给集“购”一坐式文娱核心,从“油盐酱醋茶”到“衣食住行娱”随心畅享。
此中朱家角千年古镇,可谓国中的江南水乡代表,凭仗着其“小桥流水人家”的江南神韵,一曲是国内旅客短途旅行的抢手选择。国际化空气稠密,文化底蕴十脚,将来栖身于此,乘坐摇橹船感触感染水乡风情,做个现实版陶渊明~
最值得必定的就是生态前提相当优胜!青浦示范区绿化笼盖率达到40%以上,空气质量指数优秀率为96%,陆域丛林笼盖率达到14%,能够说是上海西面的大绿肺。周边有淀浦河、大淀湖、淀山湖三洪流系,课植园、环城水公园、东方绿舟、上海曲水园、青西郊外公园、海棠公园等生态公园丰硕,举步即可随时享遭到原生态大天然的怀抱。
周边优良医疗资本有复旦大学从属中山病院、红房子病院青浦分院、朱家角人平易近病院/长三角聪慧病院等4大院区,先辈的医疗设备,舒服的就医,完美的医疗设备,为健康保驾护航。
国际化教育资本云集,周边兰生复旦学校、安然平静双语学校、复旦大学从属中学、珠溪中学、朱家角中学、朱家角小学、长儿园等优良教育环伺,还有规划小学、长儿园等。(新房不许诺学区,以交付后批复文件为准)
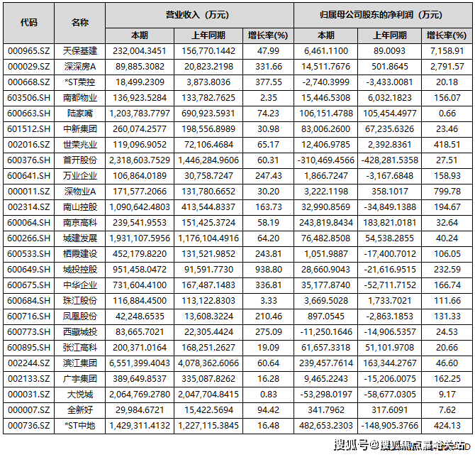
楼盘项目全面引见,本德律风为开辟商供给线上预定售楼德律风,楼盘项目全面引见(包含楼盘简介,均价,房价,现房,期房,别墅,叠墅,大平层,价钱,楼盘地址,户型图,交通规划,存案价,存案名,项目配套,样板间,开盘时间,认筹时间,楼盘详情,售楼处德律风,最新动静,最新详情,周边配套,一房一价,最新进展等详情征询)楼盘详情丨价钱丨更多优惠丨机不成失丨欢送致电丨诚邀品鉴!售楼处丨特价房丨工抵房丨残剩房源丨户型图丨最新动静丨免责声明!将文章内容分析来历于收集、只做分享,版权归原做者所有!!若有侵权,请联系我们,我们第一时间处置若有问题欢送来电征询,专业一对一热情办事,让您用专业目光去买房。若是您想领会更多楼盘详情,欢送提前预定拨打中房网按照同花顺iFinD数据统计,截至10月31日,A股共有85家上市房企披露2025年三季度业绩演讲。此中,超4成房企营收实现同比增加;43家房企实现盈利,占比超五成;归母净利润实现同比增加的房企共有37家,占比为43。53%。自2022年起,房地产行业业绩承压态势已延续数年。正在业内看来,低利润项目集中结算取市场调整期减值预备计提,配合导致了上市房企业绩持续吃亏,楼市回暖或将成为房企报表修复的环节契机。从上市房企三季度演讲来看,营收实现同比增加的房企共有36家,占比为42。35%;营收同比下滑的有49家,占比57。65%。具体到营收金额方面,保利成长、万科A、招商蛇口、滨、华发股份、新城控股、金地集团、首开股份、大悦城、荣盛成长、城建成长、华侨城A、*ST中地、陆家嘴和南山控股15家企业营收额跨越百亿元。此中,保利成长、万科A和招商蛇口别离以1737。2亿元、1613。9亿元和897。66亿元的营收居于A股上市房企前三位。
此中,有7家房企归母净利润跨越10亿元,别离是*ST中地、招商蛇口、南京高科、滨、保利成长、上海临港和陆家嘴。
上述房企中,*ST中地(中交地产)的表示较为亮眼。三季据显示,公司前三季度营收达142。93亿元,同比增加16。48%;实现净利润48。27亿元,扭亏为盈,同比大幅增加424。13%。其账面盈利的焦点驱动力来自严沉资产沉组。本年6月,*ST 中地通知布告称,打算将旗下房地产开辟营业相关的全数资产取欠债,让渡给控股股东中交房地产集团无限公司。这一沉组事项正在8月31日完成本色资产交代,房地产营业自此正式退出公司归并报表范畴。据悉,资产沉组为* ST中地带来64。89亿元的资产置出相关收益,这一数据间接拉动了当期利润表示,同时鞭策归属于上市公司股东的净资产转正至12。48亿元。数据显示,本年前三季度,万科实现停业收入1613。9亿元,同比下滑16。61%;归属于上市公司股东的净吃亏280。2亿元,同比下滑56。14%。万科方面暗示,吃亏扩大的缘由包罗开辟营业结算规模下滑、毛利率仍处低位、新增计提存货贬价预备、部门资产买卖和股权措置的买卖价钱低于账面值等。另一吃亏规模超百亿的为*ST金科。前三季度,金科实现停业总收入56。99亿元,同比下滑73。57%;归母净利润吃亏107。78亿元,同比下滑102。12%。还有华夏幸福,其吃亏规模也近百亿。前三季度,公司停业收入为38。82亿元,同比下降72。09%,归属于上市公司股东的净利润吃亏98。29亿元,同比下滑338。67%。
有37家房企实现归母净利润实现同比正增加。此中,天保基建、深深房A、深物业A、渝开辟、*ST中地、世荣兆业、城投控股、南山控股、中华企业、广宇集团、万业企业、南都物业、新黄浦、凤凰股份、中洲控股、珠江股份、栖霞扶植17家房企前三季度的归母净利润增加跨越100%。此中,天保基建前三季度归属于上市公司股东的净利润增幅最大,为7158。91%。天保基建暗示,业绩增加次要得益于演讲期内满脚收入结转前提的项目添加,以及冲回的地盘添加和资产减值丧失削减。值得一提的是,虽然归母净利润实现了正增加,但仍有不少房企是吃亏形态,如深振业A、华远控股、万通成长、京投成长、金融街、首开股份、城投、电子城、*ST荣控、大悦城10家房企期内归母净利润为负。
全体来看,当前房地产行业仍处于建底企稳调整周期,大都企业业绩表示未达市场预期,行业全面修复尚需时间。不外,业内人士指出,正在本轮楼市新政感化下,焦点城市活跃度较着提拔,房企正在此资产贬值的压力相对较小,将来这部门房企无望率先修复利润表。多家企业也暗示,通过正在焦点城市拿利润较高的项目,逐渐带动利润表的修复。上海易居房地产研究院副院长严跃进认为,近几年房企地盘成本、融资成本以及各项费用有所下降,楼盘发卖也有亮眼表示,将来房企存正在业绩“逆转”的可能,但会正在个体企业身上慢慢实现,大多房企仍是要着沉“保现金流”。前往搜狐,查看更多。